产品介绍
eSimu推介之水处理:二沉池模型的建立
eSimu是北京欧倍尔自主开发的在线图形化仿真平台,拥有丰富的标准模块库。 eSimu提供图形编辑器、支持连续采样时间、离散采样时间或两种混合的采样时间进行建模,可自定义模块库以及求解器,能够进行动态系统建模和仿真。eSimu可用于工业自动化、大型建模、复杂逻辑、物理逻辑,信号处理等方向,应用专业包括化工、环境、化学、生物、食品、制药、电气、航空、轻工等。
污泥沉降速度
二沉池模型为10层非反应单元,从下往上数第6层为进水层,沉淀池面积为1500㎡,每层高度为0.4米,总高度4米,沉淀池体积为6000m³。
运用双指数沉降速度函数计算污泥沉降速度,双指数沉降速度函数如下:


二沉池模型的建立
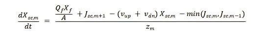
(1)进水层(m = 6)

其中:

(2)进水层以下(m = 2 到 m = 5)

(3)底层(m = 1)

(4)进水层以上(m = 7 到 m = 9)

(5)进水层以上(m = 10)

eSimu建模过程
eSimu算法编写采用python语言,将上述2中的微分方程写入到eSimu算法模板的Derivatives()的函数中即完成了建模(此处省略)。
模拟结果
采用上述模型进行BSM1工艺的模拟(模拟时间100d,步长0.01d),得到的二沉池的数据与IWA给出的数据对比如下:

结论
eSimu利用高级模块(挂载)提供的模板算法脚本可快速的通过输入连续性微分方程的方式建立生化反应池模型,整个过程不需要对脚本语言过多的了解,只需要输入公式即可,简单开放,结果可靠(相对误差在1‰以下)。


官方微信公众号
官方企业微信